Jan 06, 19 · 因数分解は中学でもたくさんやってきたと思います。高校数学の因数分解はその延長上にありますが、初めて出てくる公式がいくつかあります。この記事では受験数学で必須の因数分解の公式を紹介し、公式を使う因数分解の解き方を解説します。2x 2 -4xy+6xのように、項が3つになってもやることは同じ。 因数分解はまず、 すべての項に共通している数や文字をくくりだす んだ。 まずは数字。 2、4、6。 2でくくることができるね。 そして文字。 x 2 、xy、x。 xでくくることができるね。 2xをカッコの外に出してくくる と、次のように因数分解公式一覧(全22個) 具体例で学ぶ数学 > 計算 > 因数分解公式一覧(全22個) 最終更新日 ~中学数学で最初に習う、基本的な公式~ x2 (a b)x ab = (x a)(x b) x2 2xy y2 = (x y)2 x2 − 2xy y2 = (x − y)2 x2 − y2 = (x y)(x − y) ~たすきがけの公式~

高認 数学1 第2章 因数分解 例題4 Youtube
とある男が授業してみた 数学 高1 因数分解
とある男が授業してみた 数学 高1 因数分解-1.題材名 因数分解(数学Ⅰ 第1章 数と式 第1節 整式 3 因数分解) 2.主眼 たすき掛けによる因数分解の意味がわかり,因数分解ができるようになる。 3.準備 パソコン,ワイヤレスパワーポインター,テレビ,プリント 4.学習過程数検準2級を受ける中学生や高校生が無料で高1数学を学習するサイトです。 乗法公式⇒ 式の展開l11 式の展開l12 式の展開l2 因数分解⇒ 因数分解l11 因数分解l12 因数分解l2




高一数学圆练习题及答案 Docx 三九文库网
Jul 03, 21 · 数学Ⅰの式の展開と因数分解についてまとめたノートです。 学年 高校1年生, 教科書 数Ⅰ 第一学習社, 単元 式の展開と因数分解, キーワード 整式,単項式,整式の整理,整式の加法・減法,単項式の乗法,整式の乗法,展開公式,因数分解,たすき掛けMar , 21 · 高1 数学 因数分解 a,b,cのように連続する3文字について (bc) (ab) (ac)のように因数分解したとき、 循環するような順番で書くと思うんですが 参考書の答えが (bc) (ab) (ac) = (ab) (bc) (ca)となっているのですが ここがわかりません。 循環するような順番Aug 25, · 因数分解とは、すなわち「展開の逆」です。 展開は分配法則を使って()の無い式にすることを言いますが、因数分解は()のある式にまとめることを言います。 高校数学では1次式、2次式、3次式と、次数のたかいややこしい問題がたくさん出てきます。
Apr 01, 17 · 高1 数1〜整式の整理・因数分解〜基礎ver 高校生 数学のノート Clear 表紙 1 2 公開日時 17年04月01日 時07分 更新日時 21年05月21日 09時04分 高校生 1年生Apr 04, · 因数分解 たすき掛け そして、掛け算して出てきた答えを足しましょう。 32=5 ですね。 この数字が1乗の項の係数になっていればたすき掛け成功です。 因数分解 たすき掛けNov 07, 19 · 高校で学習する因数分解は複雑で難しい!! 「わからないので教えてください」と質問をいただくことの多い単元でもあります。 なので、今回の記事では高校1年生で学習する因数分解のやり方についてパターン別にまとめておきます。
第1回は,高校の数学Ⅰ「数と式」につながる内容として,「因数分解」に 取り組みます。 高校の因数分解は,中学内容からかなりレベルアップしますので,高校レ ベルにつながる応用問題を徹底的に演習していきます。具体的には x 2 + 4 x 2+ 4 - y ab + 2 a + 3今回のテーマは、「 長い式の因数分解 」だよ。 具体的に、次の式の因数分解を考えてみよう。 例 次の式を因数分解せよ。 x 2 +xy-y-1 「(2乗)-(2乗)」や「(2乗)、(2倍)、(2乗)」といった因数分解の公式はあてはまらないよね。 しかも、文字がx、yの2つ出てきているよ。 カタマリで扱う部分も見当たらないし、どこから手をつけていいか困ってJul 07, 21 · 面白い因数分解数学天才問題う山先生の因数分解30問目21年7月7日(水曜) ────────────────── Factorization of Professor UYAMA ────────────────── (o^')b 今年2回目の企画う山先生の因数分解の問題です♪ 中学生・高




版高一数学10月月考试题下载 Word模板 爱问共享资料




初二数学因式分解所有易错题 极为重要word版下载 Word模板 爱问共享资料
Jul 03, 21 · 高1の数学なのですが、因数分解がわからないです。 基礎は出来るのですが、応用が分かりません。たまに長く出てくる因数分解が本当に分かりません。例えばこういう因数分解です。X²ー4xy3y²3x5y2こういう長いのが出てきた場合どこに気おつければ因数分解出来ますか?Jul 01, · 年7月23日木曜日 新しい 高1 数学 因数分解 高校数学因数分解王道を歩めば何も怖くない Youtube 高校数学 数 8 因数分解 基本編 Youtube 高校数学 数 10 因数分解 応用編 Youtube 因数分解の公式まとめ一覧とその活用例 アタリマエ 因数分解のやり方 公式と解き方のコツ教えます 高校レベルまで対応 高一数学の予習 因数分解 中学数学に関する質問 オンライン家庭May 10, 17 · 3変数の6-0公式 By bikkuri 因数分解, 数と式, 高1数学 3 Comments 3変数の面倒な因数分解でも、問題を見た瞬間に答えが見えてしまうことがあります。 この公式は長いですが、簡単に覚 Read More 17年5月10日



19中考数学知识点 因式分解



初中数学丨因式分解12种方法 做题会这么多绝对够
Mar 27, 16 · 中3数学 因数分解で二次方程式の解を求める5ステップ 中3数学 中学数学円錐の高さの求め方がわかる3ステップ 中3数学 中3数学覚えて損はない!相似な図形の性質2つ 中2数学テキストは http//shinobazudouwebfc2com/ からどうぞ。または「不忍堂」で検索して下さい。無料でダウンロードできます 。高1数学;因数分解中級編(堀内先生) 高1スタートは展開と因数分解! 量をこなそう! 高1スタートは展開と因数分解! 量をこなそう




简单数论之整除 质因数分解 唯一分解定理 99 木头 博客园



34gckyn Nmbjpm
Apr 08, · 今回は、「長い式の因数分解」と「有理数・無理数」についてまとめました。 長い式になると、かなり計算しにくくなるとは思いますが計算のパターンに対応できる知識を身につけておく事で何に対しても対応することが出来ます。今のうちにマスターしてしまいましょう。Apr 07, · 高校の数学では,最初に「数と式」という分野を学習します(数学 i )。ここでは、単項式や多項式、それに整式、式の展開公式などを学びますが、その次に待ち受けているのが「因数分解」です。因数分解は、数学 i だけでなく今後の数学でずっと登場する重要な内容です。高1数学因数分解 解き方に式によっていろいろなパターン 因数分解 中学校数学・学習サイト;




高一数学圆练习题及答案 Docx 三九文库网



因式分解练习题 经典 松鼠文库
Apr 13, 17 · Yuki 高校1年生 3次式の展開と因数分解の練習問題です。 3次式 展開 因数分解 このノートが参考になったら、著者をフォローをしませんか? 気軽に新しいノートをチェックすることが5x 211x2☆は、acx 2 (adbc)xbd=(axb)(cxd)を使って因数分解しますが、『たすきがけ』を使うとうまくa、b、c、dが見つかります。 そうすると、☆は、 x 2 の係数は5、 x の係数は−11、定数項は2であるので、次の手順で『たすきがけ』を使って因数分解することができます。May 18, 17 · 因数分解におけるたすき掛けのやり方を、早稲田生が図でわかりやすく解説します。これを読めば、数学が苦手でもたすき掛けのやり方がマスターできるでしょう。練習問題も用意している充実の内容なので、ぜひご覧ください。



名師課輔網 高一數學 因式分解




取整函数 级高一数学强基计划讲义第七讲 取整函数 内有答案 Weixin 的博客 Csdn博客
Oct 01, 19 · みなさん、こんにちは。今回は、数学ia因数分解について解説していきます。高1数学で勉強し始めたらおそらく最初につまづくのが因数分解の問題でしょう。因数分解とは「足し算や引き算で表された数式を、二つ以上の単項式や多項式の掛け算のかたちにす1 適当な公式を用いて,次の式を因数分解せよ。 d de e d d d de e 2 適当な公式を用いて,次の式を因数分解せよ。次の式を因数分解せよ. (1) (2) ①因数分解とは展開の逆で掛け算の形にすることです。 例 この , , , の箇所の数字を求める問題です。 ②たすきがけのテクニックを利用して問題を解こう。 ③たすきがけの計算は、数字の組み合わせ予測して、試行錯誤しながら行おう。 (1) (2)




新高一数学强基计划培训讲义第一讲 基础数论 含详细答案 强基 整数 多项式 数学 基础数论 手机网易网



初二数学因式分解选择题 米粒分享网 Mi6fx Com
Jun 19, 18 · 展開の逆パターンが因数分解。因数分解が苦手という人のために、因数分解の共通因数や公式を使った基本問題から、文字の置き換えやくふうが必要な問題まで、いろんなタイプの因数分解の解き方をご紹介します。解き方を確認したい人はぜひ参考にしてみてください。動画一覧や問題のプリントアウトはこちらをご利用ください。ホームページ → http//19chtv/ Twitter→ https//twittercom/haichi_toaru今回の因数分解では,④の方法は利用していませんが,例えば,(ab)(ab2)15を因数分解するときには④を利用することが有効です。 実際に(ab)(ab2)15を因数分解してみましょう。「同じ文字の並び」である ab を1つのカタマリとみて, ab=X で置き換えます




高中高次因式分解




この赤枠のようになる理屈がわかりません 詳しく教えて頂きたいです Clear
May 06, 16 · 因数分解の簡単な解き方がわかる3つのステップ 因数分解のやり方は3ステップさ。 っていわれてもわからんよね? ? 今日はいっしょに例題をといてみよう。 つぎの多項式を因数分解してください。 やり方1 共通因数をくくりだす まず共通因数を高卒認定試験数学の因数分解:たすきがけの解き方 坂田先生 高卒認定試験の数学では、たすきがけを使って解く因数分解の問題がよく出題されています。 にゃんこ こんな感じ。 平成27年 平成29年 令和1年 これって全部、数学Ⅰで学習する因数分解のたすきがけの解き方で解答できますので、その手順についてこれからご説明します。 あ。 ちなみにこのサイトMar 17, 17 · はじめに 因数分解とは、「足し算・引き算で表されている数式をかけ算の形に変形する」ことです。 数学の色んな場面で出てきます。 そんな因数分解には、公式だけでなく早く計算できる解き方があります。 今回の記事では、「因数分解とは何か?」という基礎的な内容から、解き方の解説や練習問題まで載せています。




まとめ 高校で学習する因数分解のやり方をぜんぶ解説 数スタ




16 高一數學第1章一元二次方程式 Teaching Bolg 1 鄭氏化學zschemistry 全國獨中數理科講義 網購
2つの数を探すときには、普通の因数分解と同じように後ろの2つの項に注目して、 2x 2 +5 x +3 「かけて3」「たして5」になるペアを探すんだ。 「かけて3」になるペアは1×3だね。 このとき、(2x )(x )にあてはめると、 ア (2x +1 )(x +3 ) イ (2x +3 )(x +1 ) の2パターンの答えが想像できるよ。 でも、アとイのどっちが正解かわかるかな?Sep 12, · 中学数学 因数分解の解き方と練習問題 Irohabook 中学3年生 数学 因数分解 問題プリント 無料ダウンロード 印刷 初中数学基础 因式分解中的符号问题 没学好的学生抓紧来学 初中数学因式分解公式 3u文域 中学数学 基礎 因数分解06 組み合わせ Youtube 初中数学



ぜいたく中学中3 数学因数分解 最高のぬりえ



一道高难度美国数学竞赛题 学霸也束手无策 3种解法分享给大家 教育资讯 早游戏




Amc 备考助推器 Amc 12 数论板块公式 定理 方法汇总06 知乎



画像をダウンロード高1 数学因数分解 犬イラスト



天天快报




新着因数分解3 次 最高のぬりえ




取整函数 级高一数学强基计划讲义第七讲 取整函数 内有答案 Weixin 的博客 Csdn博客




Eju数学a 整数的性质 知乎




ベスト 因数分解公式中学 ニスヌーピー壁紙




展開 因数分解は1時間で解けるようになる 外資系コンサルタントが主夫になったら




因式分解四种基本方法 百度经验




高一数学 分解因式 百度知道




因数分解 搜索结果 哔哩哔哩 Bilibili




高校1年 数学i 因数分解 予習用練習問題




质因数分解与量子计算机 知乎




高校数学 数 8 因数分解 基本編 Youtube



高一数学因式分解题目 搜狗搜索




因式分解 沪教版初中数学初一数学上册电子课本 易学啦



Educate Techie 独中数学高一第二章 2 7 一元多项式的因式分解 Uec Mathematics Senior 1 Chapter 2 Facebook




因式分解




初升高数学入门宝典 10个方法教你拿下 因式分解 每日头条



1




高1数学 数ii 三次式の展開 と 因数分解 です Clear



18 19学年上海市初中数学竞赛指导 因式分解 Pdf版 八年级数学 吾爱数学首页 初中数学学科资源 初中数学备课资源下载



初一数学 因式分解 练习题 沃文网wodocx Com



1




01因式分解的概念因式分解初中数学初二 Youtube



1



日本初中数学竞赛题 分解因式 中国学生 确定不是送分题 育儿知识网



数学10的分解 腾讯视频



初中数学基础 因式分解中的符号问题 没学好的学生抓紧来学



Ttkhqo4nfz Dim




問題高一數學因式分解問題 課業板 Meteor




高校1年 数学i 因数分解 予習用練習問題



無料ダウンロード中学数学因数分解公式 最高のぬりえ



因数分解のやり方 公式と解き方のコツ教えます 高校レベルまで対応 Studyplus スタディプラス



多项式的立方公式 西瓜视频搜索




初中数学考试重点因式分解方法合集 掌握考试拿高分 多项式




如何因式分解三次多项式 12 步骤



初中数学因式分解公式




Acwing 197 阶乘分解 质因数 Weach的博客 Csdn博客




初二数学上册第十四章节因式分解易错点 题型整理 三好网




因式分解例题



因式分解数学题 万图壁纸网




收藏到独中数学




有趣的数学之 分解质因数 看看 网易订阅




公式いろいろ 因数分解のいろいろな問題とその解き方 スタディクラブ情報局




因数分解



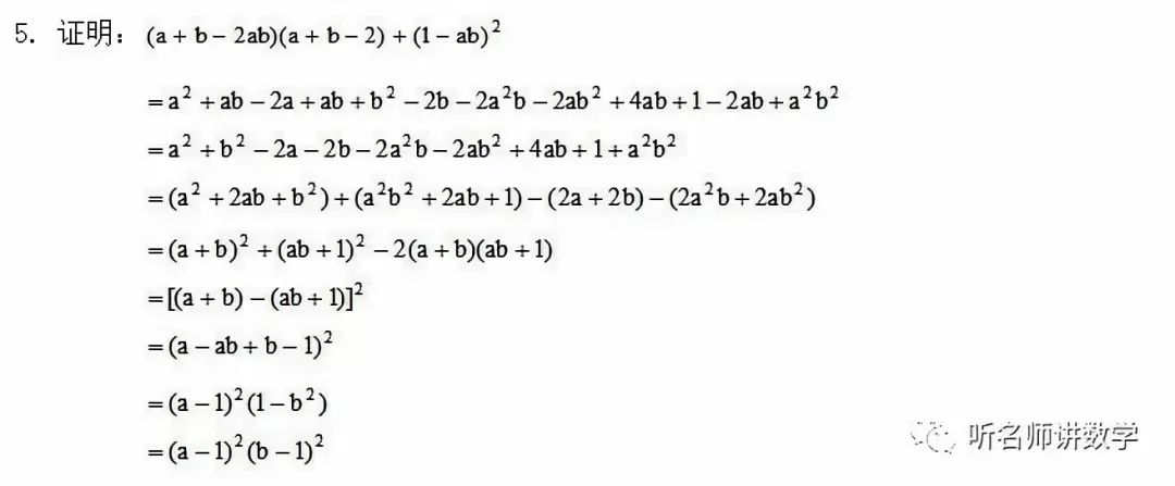
因式分解之 分组分解法 视频 文 初高中衔接内容 适用于高一新生 听名师讲数学 微信公众号文章阅读 Wemp




因数分解公式3次



因数分解のやり方 公式と解き方のコツ教えます 高校レベルまで対応 Studyplus スタディプラス




高校1年 数学i 因数分解 予習用練習問題



初中数学丨因式分解12种方法 做题会这么多绝对够



初一数学专项练习 因式分解 101教育初一手机端



高一数学の三次式の因数分解の問題でx 3x 3x 1これを因数分解する問題 Yahoo 知恵袋



高1の数学1の因数分解の工夫という問題のやり方が分からないので質問します Yahoo 知恵袋




高一 因数分解 応用 です Clear



初中数学八年级下因式分解检测题 一 学习视频教程 腾讯课堂




什么是分解质因数 分解质因数的方法例子 豪友网



因式分解 哔哩哔哩 つロ干杯 Bilibili




高一先修數學 免費影音教學 Ch 1 乘法公式與因式分解video 1 3 乘法 Youtube




高校1年 数学i 因数分解 予習用練習問題




高認 数学1 第2章 因数分解 例題4 Youtube




高校数学 因数分解 基本問題 16年3月15日 Youtube



人教版初一数学因式分解知识点练习题 初一辅导 初中辅导资料 备考资料 树先生教育官网 中小学课外辅导领军品牌 一对一 精英班




算法讲解 质数判断及质因数分解 阿维斯托 博客园



高考数学解题技巧 26利用猜根法和多项式除法 因式分解高次多项式 中学生和高中生必备技能 哔哩哔哩 つロ干杯 Bilibili



高一数学分解因式公式 搜狗搜索




整式乘法与因式分解 中考题例析 参考网




Poj 1811 Prime Test Rabin Miller强伪素数测试和pollard Rho 因数分解 林夕 梦 博客园



因式分解模板 因式分解文档下载 沃文网




高校数学 因数分解の工夫 置き換え 受験の月




高校数学 数 10 因数分解 応用編 Youtube




今年も因数分解コンクール 最近の出来事 英国 イギリス留学生へのキリスト教に基づく全人教育 立教英国学院 Rikkyo School In England



超经典的因式分解练习题有答案 松鼠文库




质因数分解与量子计算机 知乎




因数分解の公式まとめ一覧とその活用例 アタリマエ




因式分解 基础知识 六年级奥数可看 每日头条




初一数学 因式分解10道经典真题演练 帮你全面提升能力




新高一数学强基计划培训讲义第一讲 基础数论 含详细答案 强基 整数 多项式 数学 基础数论 手机网易网




21 2 3 因式分解法 部编版九年级数学上册电子课本 易学啦




精品文档 强化01 多项式的运算 因式分解 分式 根式 绝对值等计算下载 Word模板 爱问共享资料




因数分解のやり方がわからない人必見 公式や解き方のコツをわかりやすく紹介 高校生向け受験応援メディア 受験のミカタ




质因数分解还可以这么用啊 哔哩哔哩 つロ干杯 Bilibili



高1数学因数分解 わかるひといましたらメチャクチャわかりやすく教えて下さい Yahoo 知恵袋




因式分解的行列式方法 如何利用行列式进行因式分解 三人行教育网 Www 3rxing Org



质因数分解质因数 Page38 苏教版五年级数学下册电子课本 教材 教科书 好多电子课本网




高一数学学霸笔记 集合元素的互异性 教育 在线教育 好看视频
0 件のコメント:
コメントを投稿